Lompat ke konten Lompat ke sidebar Lompat ke footer
close

Integrale Curbilinii Exercitii Rezolvate

Integrale Curbilinii Exercitii Rezolvate

Determină și afișează cel mai mare dintre două numere citite de la tastatură. Incercam cu acest proiect sa raspundem cat mai punctual nevoilor elevilor, deci orice feedback ajuta.

Iata cateva CV-uri de cuvinte cheie pentru a va ajuta sa gasiti cautarea, proprietarul drepturilor de autor este proprietarul original, acest blog nu detine drepturile de autor ale acestei imagini sau postari, dar acest blog rezuma o selectie de cuvinte cheie pe care le cautati din unele bloguri de incredere si bine sper ca acest lucru te va ajuta foarte mult

In cele peste 600 de videoclipuri ale canalului veti. Folland, advanced calculus, prentice hall, 2002. Integrala nedefinita a unei functii continue+tabel integrale.

7 1 Exerciţii Rezolvate Exerciţii Propuse Cu Indicaţii Si Răspunsuri Intrebări De Autoevaluare Pdf Dwrean Lhpsh
vizitati articolul complet aici : https://docplayer.gr/80283599-7-1-exercitii-rezolvate-exercitii-propuse-cu-indicatii-si-raspunsuri-intrebari-de-autoevaluare-74.html
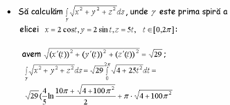
Integrala curbilinie de speta a doua. D → r o func¸tie continu˘a astfel ˆıncˆat d ⊇ γ(a, b). Exercitii rezolvate bac (+exemple comutativitate, asociativitate, element neutru, element simetrizabil).

Seminar integrale curbilinii de spe¸ta i.

Integrală curbilinie de speța a doua. Facultatea de construcţii bucureşti, curs. Exercitii rezolvate si probleme rezolvate adaugam constant.

Curs (copie la wikia ). Exerciţii rezolvate cu integrale nedefinite (primitive). Integrală curbilinie de prima speță.

Elemente De Calcul Integral Paul Georgescu
vizitati articolul complet aici : https://www.librarie.net/p/251957/elemente-de-calcul-integral
#include <iostream> using namespace std; D → r o func¸tie continu˘a astfel ˆıncˆat d ⊇ γ(a, b). Bookmarkexercitii rezolvate access_time11 years ago personwebmateinfo chat_bubble10.

Teorema integrala definita | calculul integralei definite.

a, b → c, d astfel ˆıncˆat ϕ = ψ ◦ θ. A) tabele cu derivate si integrale (8). În secţiunea dedicată integralelor curbilinii, formula (9.421) se va obţine drept un caz particular al unei formule mai generale (pentru lungimea arcelor de curbe parametrizate) care se aplică şi la curbe spaţiale (din.

In cele peste 600 de videoclipuri ale canalului veti. În secţiunea dedicată integralelor curbilinii, formula (9.421) se va obţine drept un caz particular al unei formule mai generale (pentru lungimea arcelor de curbe parametrizate) care se aplică şi la curbe spaţiale (din. Exerciţii rezolvate cu integrale nedefinite (primitive).

Elemente De Calcul Integral Paul Georgescu
vizitati articolul complet aici : https://www.librarie.net/p/251957/elemente-de-calcul-integral
Integrală curbilinie de speța a doua. Multimea tuturor primitivelor lui f se numeste integrala nedefinita a functiei f. Proiectul desigur este un continuu efort de acoperire a unei materii vaste, iar daca simtiti ca ceva lipseste, puteti sa ne comunicati.

Daca a>b atunci scrie a.

Descompunerea in functii rationale simple. Determină și afișează cel mai mare dintre două numere citite de la tastatură. D → r o func¸tie continu˘a astfel ˆıncˆat d ⊇ γ(a, b).

Posting Komentar untuk "Integrale Curbilinii Exercitii Rezolvate"