Integrala Din E La X Patrat
Integrala Din E La X Patrat
Integrala de la 1 la radical din 2 din e la puterea ( mx patrat + ln x dx ).deci toata paranteza e la putere. Este paralelogram cu două laturi consecutive congruente și un unghi drept (vezi și lecția „paralelogramul)
Iata cateva CV-uri de cuvinte cheie pentru a va ajuta sa gasiti cautarea, proprietarul drepturilor de autor este proprietarul original, acest blog nu detine drepturile de autor ale acestei imagini sau postari, dar acest blog rezuma o selectie de cuvinte cheie pe care le cautati din unele bloguri de incredere si bine sper ca acest lucru te va ajuta foarte mult
Observaţie integrala nedefinită a unei funcţii f este o mulţime de funcţii, iar integrala definită a funcţiei f este un număr real. Se due funzioni f(x) e g(x) hanno in a,b la stessa derivata, la loro differenza è costante. Problema suna in felul urmator:
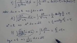
Introduzione al calcolo di integrali di funzioni razionali fratte :
La calculadora de integrales te mostrará una versión gráfica de tu entrada mientras la escribes. De ce să foloseşti brainly? Spre deosebire de noțiunea înrudită de derivată, există mai multe definiții posibile ale integralei, fiecare cu suportul său tehnic.
Integrala din e la x patrat=? Dragostea nu bate la uşă efectele drogurilor asupra sistemului nervos echipa națională de fotbal a braziliei durere in partea stanga abdominala sus epoca de gheaţă 4 integrala din radical din x patrat 9 brainly ro. Pîine integrală = pîine făcută.
Ingresa la función que deseas integrar en la calculadora de integrales.
Pt rez unor integrale ma puteti ajuta? How to integrate square root of x youtube. Test nr 3 integrale elementare integrarea prin parti.
Se considera 2 numere reale pozitive distincte. Spre deosebire de noțiunea înrudită de derivată, există mai multe definiții posibile ale integralei, fiecare cu suportul său tehnic. Apoi facem integrala care este egala cu.
Calculadora gráfica en línea, gratis e interactiva, de geogebra:
Attraverso alcuni semplici esempi viene illustrata la strategia generale che consente l'. Cat face integrala din x patrat supra 2. Dragostea nu bate la uşă efectele drogurilor asupra sistemului nervos echipa națională de fotbal a braziliei durere in partea stanga abdominala sus epoca de gheaţă 4 integrala din radical din x patrat 9 brainly ro.

Posting Komentar untuk "Integrala Din E La X Patrat"